Title
您当前的位置: 首页 > > 文章详细
阿里巴巴开源全新一代大模型千问Qwen3.5-Plus
发布时间:2026-02-26

  我们开源全新一代大模型千问Qwen3.5-Plus。

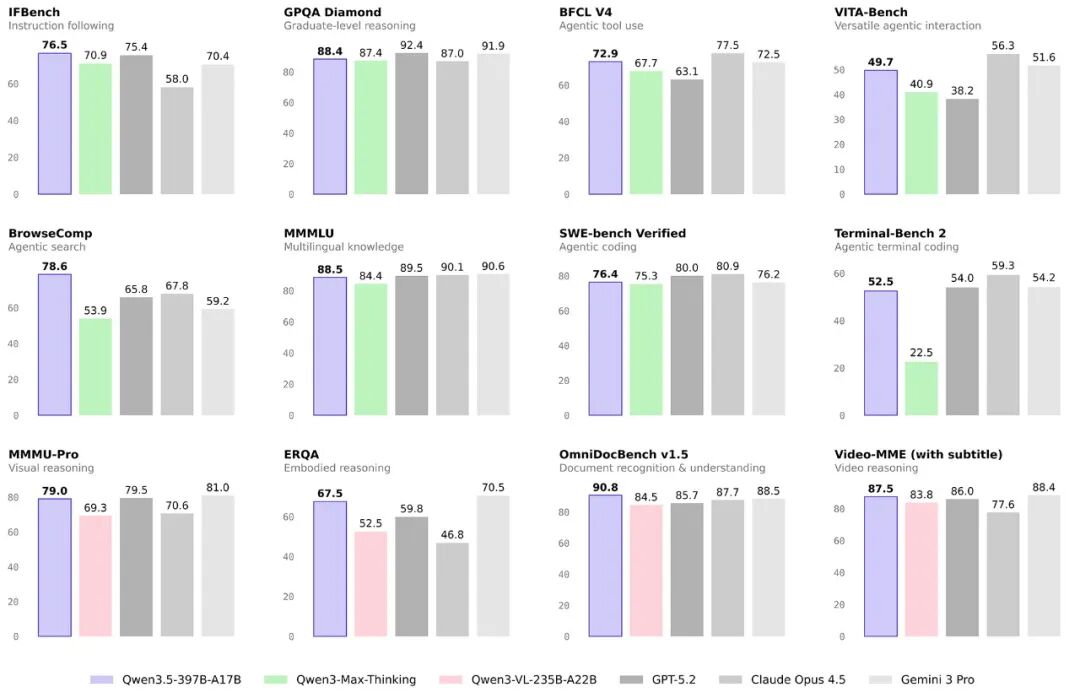
  千问3.5实现了底层模型架构的全面革新,此次发布的Qwen3.5-Plus版本总参数为3970亿,激活仅170亿,以小胜大,性能超过万亿参数的Qwen3-Max模型,部署显存占用降低60%,推理效率大幅提升,最大推理吞吐量可提升至19倍。

  千问3.5在文本和视觉的混合数据上预训练,实现了原生多模态的新突破,在推理、编程、Agent智能体等全方位基准评估中均表现优异,并在视觉理解能力的权威评测中斩获数项性能最佳。

  阿里开源千问Qwen3.5-Plus,性能情况

  在学科解题、任务规划与物理空间推理等任务上,千问3.5相空间定位推理和带图推理能力均大幅增强,推理分析更精细、精准;在视频理解方面,千问3.5支持长达2小时(1M token上下文)的视频直接输入,适用于长视频内容分析与摘要生成。

  同时,千问3.5实现了视觉理解与代码能力的原生融合,结合图搜和生图工具,可将手绘界面草图直接转为可用的前端代码,一张截图就能定位并修复UI问题,让视觉编程真正成为生产力工具。

  千问3.5性能跃升的背后,是对Transformer经典架构的重大创新突破。

  千问团队自研的门控技术成果,曾斩获全球AI顶会2025 NeurIPS最佳论文,该前沿技术已融入到千问3.5创新的混合架构中去,团队结合线性注意力机制与稀疏混合专家MoE模型架构,实现了397B总参数激活仅17B的极致模型效率。

  千问3.5推理效率大幅提升

  最大吞吐量提升至19倍

  基于顶级视觉能力,千问3.5也实现了从Agent框架到Agent应用的新突破。千问3.5可自主操作手机与电脑,高效完成日常任务,在移动端支持更多主流APP与指令,在PC端可处理更复杂的多步骤操作,如跨应用数据整理、自动化流程执行等,显著提升操作效率。

  千问团队构建了一个可扩展的Agent异步强化学习框架,端到端可加速3到5倍,并将基于插件的智能体Agent支持扩展至百万级规模。

  现在,千问App、PC端已经接入Qwen3.5-Plus模型,大家可以第一时间体验。

  开发者朋友们也可以在魔搭社区和HuggingFace下载新模型,或通过阿里云百炼直接获取API服务。

  截至目前,我们已开源400多个千问模型,覆盖全尺寸、全模态,千问全球下载量突破10亿次,开发者基于千问开发的衍生模型超20万。

  新的一年,我们继续同行,一起探索AI应用的无限可能。

  祝大家,新年快乐,骏启新章。

上一篇:
(深互动)比亚迪:立项研发包括海鸥在内的多款带激光雷达的选配方案的车型
下一篇:
全球前十开源模型均源自中国,阿里千问3.5占四席
Title