Title
您当前的位置: 首页 > > 文章详细
上新!阿里Qwen3.5发布,AI技术与应用双线进击
发布时间:2026-02-17

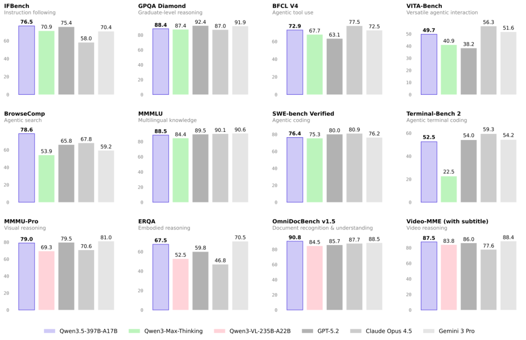
  2月16日,阿里巴巴悄然亮出AI领域的“春节档杀手锏”——全新一代开源大模型Qwen3.5-Plus发布。通过底层模型架构的全面革新,Qwen3.5-Plus版本总参数为3970亿,激活仅170亿,以小胜大,性能超过万亿参数的Qwen3-Max模型,部署显存占用降低60%,推理效率大幅提升,最大推理吞吐量可提升至19倍。与此同时,成本下降,Qwen3.5-Plus的API价格每百万Token低至0.8元,仅为Gemini 3 Pro的1/18。

  图片来源:“千问大模型”微信公众号

  值得一提的是,在底层技术突破的同时,截至目前,阿里AI应用战绩同样斐然。

  2月17日,据阿里巴巴介绍,“千问请客”活动期间,有超过1.3亿人在千问点奶茶、囤年货、买电影票、买门票、订机票酒店。AI技术与应用双线进击背后,是阿里从技术自主可控到生态协同发力的全链布局,彰显中国科技巨头在全球AI竞赛中的硬核实力。

  阿里AI双线进击

  2026年的AI“春节档”火热异常,阿里Qwen3.5凭借技术和性价比,将AI竞赛推向新高度。作为阿里全新一代基模,Qwen3.5-Plus一经开源,便成为全球最强开源模型之一,性能直接媲美闭源第一梯队的Gemini 3 Pro,多项核心基准测试成绩甚至实现超越。

  与前几代模型不同,阿里Qwen3.5完成了从纯文本模型到原生多模态模型的代际跃迁,基于视觉与文本混合token预训练,并大幅新增中英文、多语言、STEM及推理数据,让大模型真正“睁开眼睛”,掌握更密集的世界知识与推理逻辑。

  原生多模态训练,也带来Qwen3.5的视觉能力飞跃,在多模态推理、通用视觉问答VQA、文本识别和文件理解、空间智能、视频理解等众多权威评测中,Qwen3.5均斩获最佳性能。Qwen3.5还实现视觉理解与代码能力的原生融合,结合图搜和生图工具,可将手绘界面草图直接转为可用的前端代码,一张截图就能定位并修复UI问题,让视觉编程真正成为生产力工具。

  视觉语言上Qwen3.5与前沿模型对比评估

  图片来源:“千问大模型”微信公众号

  性能跃升的背后,是阿里千问团队对Transformer经典架构的重要创新。据介绍,团队自研的门控技术成果,已融入到Qwen3.5创新的混合架构中,从而进一步提升了推理效率:在常用的32K上下文场景中,Qwen3.5推理吞吐量可提升8.6倍;在256K超长上下文情况下,Qwen3.5推理吞吐量最大提升至19倍。

  更具行业冲击力的是其极致性价比。Qwen3.5-Plus的API价格每百万Token低至0.8元,仅为Gemini 3 Pro的1/18。这一价格优势,让AI技术在企业级与消费级市场的大规模普及成为可能。

  Qwen3.5-Plus性能表现图片来源:“千问大模型”微信公众号

  千问App、PC端已第一时间接入Qwen3.5-Plus模型。当前,通过“千问请客”活动,千问App正成为消费者体验AI应用的重要渠道,仅6天活动时间,千问App就帮用户完成了1.2亿笔AI购物订单,在全球首次实现大规模真实世界任务执行和商业化验证。

  QuestMobile数据显示,千问App日活(DAU)达7352万,远超元宝App、逼近豆包App。伴随Qwen3.5进一步增强Agent能力,千问App场景落地的能力和效果也将进一步提升。

  全栈布局、生态协同

  筑牢AI发展根基

  阿里AI双线进击,看似是短期的技术突破与应用提速,实则是阿里过去十年在AI领域“饱和式投入”的厚积薄发。

  一方面,“通云哥”的全栈阵型,构成阿里AI壁垒深厚的护城河。1月29日,阿里旗下平头哥官网正式上线一款名为“真武810E”的高端AI芯片,至此,打造全球顶级开源大模型“千问”的通义实验室、亚太市场第一的阿里云、全栈自研芯片的平头哥完成集结,阿里AI黄金三角“通云哥”正式出道。这也意味着阿里是全球唯二具备全栈AI能力的公司,另一家是谷歌。

  全栈底层技术战略布局并非一日之功,而是阿里十年磨一剑的前瞻性投入。早在2017年云栖大会,阿里便宣布成立达摩院,重点布局芯片及前沿科技;2018年,平头哥正式成立并启动大模型研发,在AI尚未爆发的年代,阿里便选择深耕底层技术,进行饱和式投入。这种战略定力,在今天终于结出硕果。谷歌“Gemini模型+TPU芯片+云平台”的模式已经印证,垂直整合是实现AI极致优化的关键密码,可以根据大模型的架构需求,定制AI芯片,并通过智能的云平台来调度资源,从而实现协同创新。此次Qwen3.5的训练在阿里云上完成,通过设计精巧的FP8、FP32精度应用策略,在训练稳定扩展到数十万亿个Token时,激活内存减少约50%,训练还能提速10%。

  另一方面,阿里20多年电商零售业务积累下来的“吃住行游购娱”的国民级生态,补齐阿里AI应用“从意图到执行”的场景拼图。

  与OpenAI、谷歌、微软等厂商不同,电商基本盘让阿里拥有在顶尖模型技术的同时,也打造了一套AI场景落地所需的支付、物流、商品等生态基础,更易实现AI技术与场景落地的双向赋能。举例来说,淘宝闪购不仅能将消费者在千问APP的智能点单需求转化为实际订单,而且这个订单产生的交易、配送、评价等实时数据,也能持续反哺模型优化。这种深度整合和正向循环,助力阿里AI应用规模化拓展落地。

  由此来看,阿里的AI逻辑已然清晰——技术上追求星辰大海,深耕底层突破;应用上呵护人间烟火,让AI走进大众生活。记者了解到,后续阿里还将开源不同尺寸、不同功能的Qwen3.5系列模型,性能更强的旗舰模型Qwen3.5-Max不久也将发布。随着“通云哥”组合的持续发力,阿里将继续引领AI技术的迭代与应用的普及,推动中国AI产业实现高质量发展。

上一篇:
字节跳动在春节点亮自己的 ChatGPT 时刻
下一篇:
销量暴跌32.4% 进口豪华车遇冷 国产高端车突围
Title