Title
您当前的位置: 首页 > > 文章详细
拆解报告:IM智己50W车载前装无线充电模块
发布时间:2025-12-15

  前言

  充电头网淘到了智己50W车载前装无线充电模块,这款模块内置NFC功能,设有PCB屏蔽面板,安装在装饰面板下方。模块设有一个充电位置,背面采用铝合金外壳,并设有散热风扇,由底部吹出空气为手机和无线充电器散热。

  无线充电器通过内置风扇加快空气流通,带走大功率无线充电产生的热量,带来更加快速的无线充电体验,将碎片化时间充分利用。下面就带来智己50W车载前装无线充电模块的拆解,一起看看内部的方案和用料。

  智己50W车载前装无线充电模块外观

  智己汽车前装无线充电模块采用铝合金后盖,通过螺丝固定,并设有散热风扇。

  正面为PCB屏蔽面板,左侧为底部,设有风扇出风口。

  后盖上方设有电源连接端子。

  风扇盖子印有产品信息

  无线充电集成NFC启动模块总成

  MODULE ASM NFCSM END

  SW:1208977001

  HW:1219809301

  250826

  >PC+ABS

  中国制造

  无线充电模块侧面一览,散热风扇为凸起设计。

  使用游标卡尺测得无线充电模块长度约为135.1mm。

  无线充电模块宽度约为72mm。

  PCBA模块厚度约为36.9mm。

  无线充电模块拿在手上的大小直观感受。

  测得无线充电模块重量约为287g。

  智己50W车载前装无线充电模块拆解

  看完了无线充电模块的外观,下面就进行拆解,一起看看内部的方案和用料。

  首先拧下固定螺丝,拆解取下散热风扇。

  风扇下方设有固定螺丝,通过插接件连接供电。

  风扇通过螺丝固定在罩子内部。

  散热风扇来自东莞鸿盈,型号B55D1H024E2,规格为5V0.4A。

  铝合金后盖通过螺丝固定。

  拧下固定螺丝,内部为PCBA模块。

  铝合金后盖对应电感和发热元件设有导热垫散热。

  壳体内部设有PCBA模块。

  取出内部PCBA模块和无线充电线圈。

  PCB面板内部设有NFC线圈和热敏电阻。

  面板连接到PCBA模块的插座特写。

  PCBA模块正面一览,左侧焊接供电插座,上方设有NFC读卡器芯片,下方设有TVS,供电控制管,滤波电感。中间位置设有无线充电主控,右侧下方设有同步升降压控制器,同步升降压开关管,无线充电功率级芯片,滤波电容和滤波电感。在无线充电主控上方设有切换线圈的开关管。

  PCBA模块背面没有元件。

  输入端TVS来自力特,丝印CKA,型号TPSMB30CA-VR,为双向TVS,符合AEC-Q101标准,反向截止电压为30V,采用DO-214AA封装。

  用于供电控制的开关管来自捷捷微电,型号JMPL1050AUQ,符合AEC-Q101标准,PMOS,耐压-100V,导阻38mΩ,采用PDFN3*3-8L封装。

  贴片共模电感特写。

  1μH合金电感用于输入滤波。

  滤波电容规格为100μF35V。

  主控MCU来自杰发科技,型号AC78406HFLA,是一颗车规级MCU,符合AEC-Q100 Grade 1标准,芯片内置ARM Cortex-M4F内核,主频高达120MHz,并集成DSP,集成512KB FLASH。内置CAN-FD模块,具备UART、SPI、I2C模块,支持-40~125℃温度范围,采用LQFP64封装。

  MCU外置时钟晶振特写。

  NFC读卡器来自意法半导体,型号ST25R3920B,是一颗用于CCC数字钥匙和汽车中控台的车规级高性能NFC读卡器,符合AEC-Q100 Grade2标准,支持2.6-5.5V工作电压范围,支持1.65-5.5V外设通信电压范围,采用VFQFPN32封装。

  芯片外置时钟晶振特写。

  CAN收发器来自恩智浦,型号TJA1044BT,是一颗高速CAN总线收发器,支持低功耗模式和总线唤醒,采用SO8封装。

  用于CAN总线的贴片滤波电感特写。

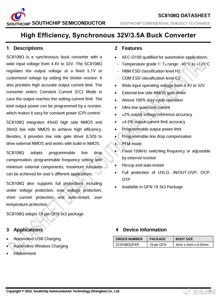
  同步降压芯片来自南芯科技,型号SC8108Q,是一颗汽车级同步降压转换器,符合AEC-Q100 Grade 1标准,芯片支持4.4-32V输入电压,输出电流3.5A,芯片内部集成45mΩ上管和30mΩ下官,支持驱动外置NMOS。芯片具备可编程的线损补偿,开关频率可编程,支持欠压保护,过压保护,短路保护和过热保护,采用QFN-19封装。

  南芯科技 SC8108Q 资料信息。

  10μH合金电感用于降压输出。

  同步升降压控制器来自南芯科技,型号SC8701Q,为汽车级AEC-Q100 1级版本,支持-40~125℃工作温度。SC8701Q是一款同步4开关升降压控制器,它可以有效的调节输出电压,无论是高、低或等于输入电压。同时支持非常宽的输入和输出电压范围,支持2.7V到36V的输入范围和2V到36V的输出范围。

  驱动器电压设置为10V,以充分利用外部MOSFET实现最高效率,开关频率200~600KHz可设置,支持动态调节输出电压和电流限制,具备输入和输出过电流限制,并具备过热保护,确保系统安全,芯片支持-40~125℃工作温度,采用QFN-32封装。

  充电头网拆解了解到,南芯升降压芯片广泛应用在充电器、无线充、移动电源、车充等产品上,并被小米80W帆船风冷无线充、华为50W超级快充无线车充、安克PowerHouse II 400户外电源、羽博300W便携式储能电源、紫米20号200W PD快充移动电源、征拓100W双向快充移动电源SuperTank Pro、三星10000mAh 25W PD快充移动电源、小米20000mAh移动电源 50W超级闪充版等数十款产品采用。

  同步升降压开关管来自捷捷微电,型号JMSL0406AUQ,符合AEC-Q101标准,NMOS,耐压40V,导阻4.5mΩ,采用PDFN3*3-8L封装。

  另外两颗开关管型号相同。

  4.7μH合金电感用于升降压转换。

  3颗100μF35V电容用于输出滤波。

  无线充电功率级来自伏达半导体,型号NU8060QH,是一款聚高集成度、高效率、高精度于一身的无线充发射端芯片,符合AEC-Q100 Grade1标准。芯片支持宽压输入,推荐最高工作电压27V,瞬态耐压最高可达36V。单颗芯片能配最高达80W的无线充接收端Rx负载,实现高功率无线快充。

  NU8060QH集成了12mΩ低内阻全桥,与市面上的现有产品相比,具有突出的良好热性能,还集成了无线充应用中的众多重要功能,如全桥驱动、5V LDO、高精度的电流检测、Q值检测功能、带内通信解调功能等,采用QFN21封装。

  芯片上方设有MLCC滤波电容。

  两颗1μH合金电感用于输出滤波。

  用于切换谐振电容的开关管来自捷捷微电,型号JMSL1018AUQ,符合AEC-Q101标准,NMOS,耐压100V,导阻16.2mΩ,采用PDFN3*3-8L封装。

  三颗并联的谐振电容特写。

  用于无线充电线圈切换的开关管来自捷捷微电,型号JMSL1018AUQ。

  另一组开关管型号相同。

  共设有三组用于三个无线充电线圈切换。

  全部拆解一览,来张全家福。

  充电头网拆解总结

  最后附上智己50W车载前装无线充电模块的核心器件清单,方便大家查阅。

  智己汽车前装无线充电模块具备单个充电位置,支持50W无线快充。无线充电模块采用PCB面板,并设有铝合金后盖,安装在面板下方。壳体背面设有散热风扇,吹出气流为手机和无线充电器散热,带走热量,降低温升,提升无线充电的使用体验。

  充电头网通过拆解了解到,智己汽车这款前装无线充电模块采用杰发科技AC78406HFLA无线充电主控,搭配使用伏达半导体NU8060QH进行无线充电,使用南芯科技SC8701Q同步升降压控制器用于升降压电压转换,为无线充电功率级供电。使用SC8108Q同步降压转换器为无线充电主控供电。

  无线充电模块使用意法半导体ST25R3920B读卡器芯片实现NFC功能,并使用恩智浦TJA1044BT进行CAN总线通信。输入端设有力特双向TVS进行过压保护,供电控制,同步升降压转换和线圈切换开关管均来自捷捷微电,符合AEC-Q101标准。铝合金后盖粘贴导热垫,为电感和芯片散热,模块内部使用车规级器件,内部做工工整,用料扎实可靠。

上一篇:
虎鲸文娱发布tudoo Tbox AI主机重构家庭大屏娱乐生态
下一篇:
iPhone20爆料称将跳过19改名并采用四曲无孔屏
Title